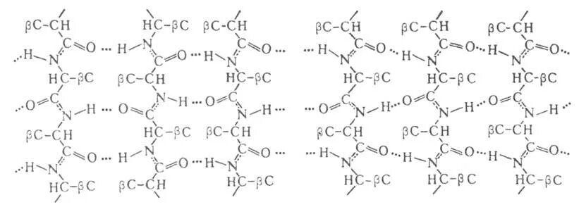
Формула белков

Общая химическая формула белков. Формула белков. Белки общая формула химия. Формула белков. Формула белков.
Общая химическая формула белков. Формула белков. Белки общая формула химия. Формула белков. Формула белков.
Общая формула белков химия. Формула белков. Химическая формула белка общая. Общая формула белка химия. Общая химическая формула белков.
Общая формула белков химия. Формула белков. Химическая формула белка общая. Общая формула белка химия. Общая химическая формула белков.
Общая формула молекулы белка. Общая формула белков химия. Общая химическая формула белков. Белки химия формула. Формула белков.
Общая формула молекулы белка. Общая формула белков химия. Общая химическая формула белков. Белки химия формула. Формула белков.
Общая химическая формула белков. Протеин химическая формула. Белок химия формула. Общая структурная формула белков. Протеин химическая формула.
Общая химическая формула белков. Протеин химическая формула. Белок химия формула. Общая структурная формула белков. Протеин химическая формула.
Общая химическая формула белков. Общая формула белка химия. Строение белков формула. Белок химия формула. Общая структурная формула белков.
Общая химическая формула белков. Общая формула белка химия. Строение белков формула. Белок химия формула. Общая структурная формула белков.
Белки химия формула. Формула белков. Белок формула химическая. Общая формула молекулы белка. Формула белков.
Белки химия формула. Формула белков. Белок формула химическая. Общая формула молекулы белка. Формула белков.
Белок химия формула. Формула белков. Состав белков химия формула. Общая формула белка химия. Молекула белка структура формула.
Белок химия формула. Формула белков. Состав белков химия формула. Общая формула белка химия. Молекула белка структура формула.
Общая формула белка химия. Белки структура формула. Белок формула химическая. Молекула белка химическая формула. Формула белков.
Общая формула белка химия. Белки структура формула. Белок формула химическая. Молекула белка химическая формула. Формула белков.
Химическая формула белка. Формула белков. Формула белков. Белки общая формула химия. Химическая формула белка общая.
Химическая формула белка. Формула белков. Формула белков. Белки общая формула химия. Химическая формула белка общая.
Общая формула белков химия. Формула белков. Структурная формула белков. Белки структурная формула. Формула белков.
Общая формула белков химия. Формула белков. Структурная формула белков. Белки структурная формула. Формула белков.
Белок формула химическая. Общая формула молекулы белка. Формула белков. Химическая формула белка общая. Структурная формула белка химия.
Белок формула химическая. Общая формула молекулы белка. Формула белков. Химическая формула белка общая. Структурная формула белка химия.
Белок химия формула. Белки общая формула химия. Белок формула химическая общая. Формула белков. Химическая формула белков.
Белок химия формула. Белки общая формула химия. Белок формула химическая общая. Формула белков. Химическая формула белков.
Формулы основных белков. Общая формула белка химия. Белок формула структура. Химическая формула белка общая. Формула белков.
Формулы основных белков. Общая формула белка химия. Белок формула структура. Химическая формула белка общая. Формула белков.
Структурная формула белка химия. Общая формула белка химия. Химическая формула белка общая. Формула белков в химии. Белок формула химическая.
Структурная формула белка химия. Общая формула белка химия. Химическая формула белка общая. Формула белков в химии. Белок формула химическая.
Общая формула белков химия. Структурная формула белка химия. Химическая формула белка общая. Белок формула химическая общая. Формула белков.
Общая формула белков химия. Структурная формула белка химия. Химическая формула белка общая. Белок формула химическая общая. Формула белков.
Формула белка в химии. Общая формула белка химия. Общая химическая формула белков. Общая формула белков химия. Основная формула белков.
Формула белка в химии. Общая формула белка химия. Общая химическая формула белков. Общая формула белков химия. Основная формула белков.
Общая формула белка химия. Белки общая формула химия. Формула белков. Общая формула белков химия. Формула белков.
Общая формула белка химия. Белки общая формула химия. Формула белков. Общая формула белков химия. Формула белков.
Строение белка общая формула. Белок формула химическая. Общая структурная формула белка. Общая формула белка химия. Белок формула химическая.
Строение белка общая формула. Белок формула химическая. Общая структурная формула белка. Общая формула белка химия. Белок формула химическая.
Белки химия формула. Структурная формула белка химия. Состав белков химия формула. Формула белков. Формула белков в химии.
Белки химия формула. Структурная формула белка химия. Состав белков химия формула. Формула белков. Формула белков в химии.
Структурная формула белков. Формула белка общая формула. Белки структура формула. Общая химическая формула белков. Формула белков.
Структурная формула белков. Формула белка общая формула. Белки структура формула. Общая химическая формула белков. Формула белков.