Даны 4 вектора

Даны векторы нацжите координатв ы векторв. Даны 4 вектора. Даны 4 вектора. Найдите координаты вектора a+b. Найдите длину вектора.
Даны векторы нацжите координатв ы векторв. Даны 4 вектора. Даны 4 вектора. Найдите координаты вектора a+b. Найдите длину вектора.
Даны 4 вектора. Найдите угол между векторами. Даны 4 вектора. Найти координаты вектора a+b. Разложение по координатным векторам.
Даны 4 вектора. Найдите угол между векторами. Даны 4 вектора. Найти координаты вектора a+b. Разложение по координатным векторам.
Даны 4 вектора. 5b. Даны векторы найдите координаты вектора. Даны четыре вектора. Укажите пары коллинеарных векторов.
Даны 4 вектора. 5b. Даны векторы найдите координаты вектора. Даны четыре вектора. Укажите пары коллинеарных векторов.
Доказательство равенства векторов. А 3 -2 b 4 2 найдите координаты вектора 2а+0. Даны 4 вектора. Разложение вектора. Даны точки а 2 -1.
Доказательство равенства векторов. А 3 -2 b 4 2 найдите координаты вектора 2а+0. Даны 4 вектора. Разложение вектора. Даны точки а 2 -1.
Вычислите длину вектора a b. Даны векторы найти координаты вектора. Задачи в координатах. Даны векторы найдите координаты вектора. Даны координаты векторов.
Вычислите длину вектора a b. Даны векторы найти координаты вектора. Задачи в координатах. Даны векторы найдите координаты вектора. Даны координаты векторов.
Найти координаты вектора 2а-3b. Запишите координаты данных векторов m 3i-5j n 2j k 4j-i. Даны векторы а 3 -5 2. Даны три вектора найдите длину вектора b+c. При каких значениях векторы коллинеарны.
Найти координаты вектора 2а-3b. Запишите координаты данных векторов m 3i-5j n 2j k 4j-i. Даны векторы а 3 -5 2. Даны три вектора найдите длину вектора b+c. При каких значениях векторы коллинеарны.
Даны векторы а(2; -5), b(6; 3) и с(4; 7). Укажите пары коллинеарных векторов а 2 1. Даны векторы а2-3+1 и б. Даны точки a 1 и -2 b 2 4 найдите координаты вектора ab. Координаты вектора a+b.
Даны векторы а(2; -5), b(6; 3) и с(4; 7). Укажите пары коллинеарных векторов а 2 1. Даны векторы а2-3+1 и б. Даны точки a 1 и -2 b 2 4 найдите координаты вектора ab. Координаты вектора a+b.
Разложение вектора принимая в качестве базиса два других вектора. Найдите координаты вектора 2а-3b. Решение вектор. При каких значениях m и n векторы коллинеарны. Даны векторы.
Разложение вектора принимая в качестве базиса два других вектора. Найдите координаты вектора 2а-3b. Решение вектор. При каких значениях m и n векторы коллинеарны. Даны векторы.
Даны векторы найти координаты вектора. Даны векторы , ,. Координаты вектора. Даны четыре вектора. Даны векторы найдите координаты вектора.
Даны векторы найти координаты вектора. Даны векторы , ,. Координаты вектора. Даны четыре вектора. Даны векторы найдите координаты вектора.
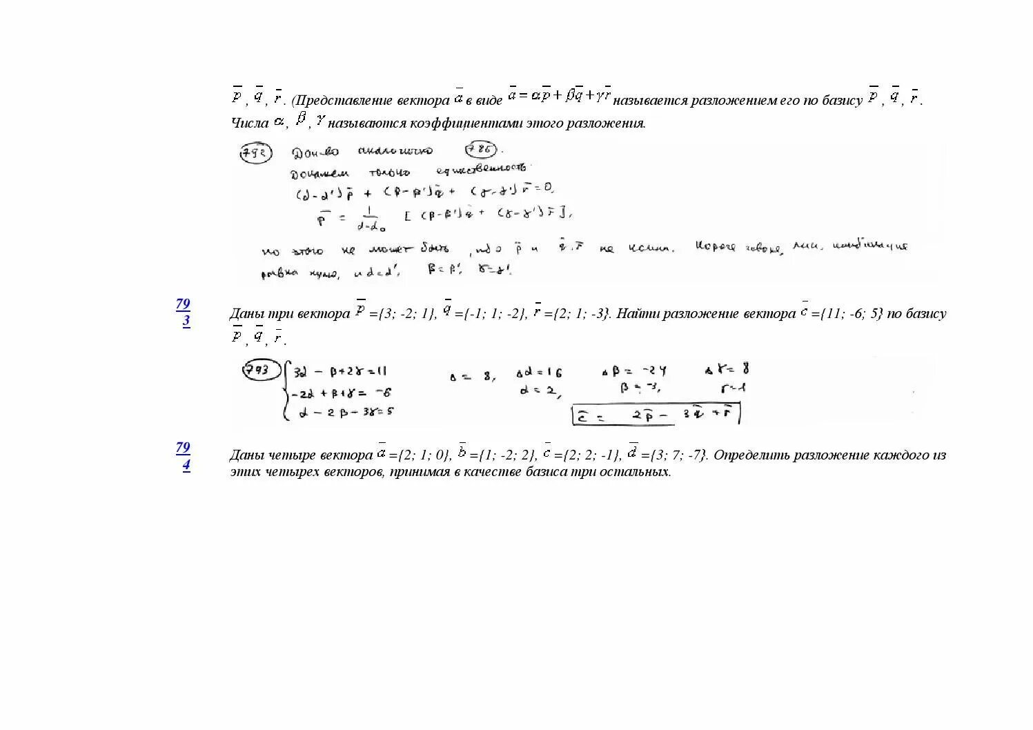
Даны 4 вектора. Длина вектора примеры решения. Даны три вектора найти разложение вектора по базису. Найти длину вектора. Даны векторы найти координаты.
Даны 4 вектора. Длина вектора примеры решения. Даны три вектора найти разложение вектора по базису. Найти длину вектора. Даны векторы найти координаты.
Даны векторы а 1 0 2 и б 0 3 -4. Даны 4 вектора. Координаты вектора в данном базисе. Найти абсолютную величину вектора. Показать что векторы образуют базис.
Даны векторы а 1 0 2 и б 0 3 -4. Даны 4 вектора. Координаты вектора в данном базисе. Найти абсолютную величину вектора. Показать что векторы образуют базис.
Даны векторы найдите координаты вектора. Задачи на нахождение длины вектора. Даны 4 вектора. Даны векторы найдите координаты вектора. Вычисление длины вектора пример.
Даны векторы найдите координаты вектора. Задачи на нахождение длины вектора. Даны 4 вектора. Даны векторы найдите координаты вектора. Вычисление длины вектора пример.
Даны 3 вектора. Даны векторы. Даны 4 вектора. Найдите координаты вектора и впишите его координаты. При каких значениях векторы коллинеарны.
Даны 3 вектора. Даны векторы. Даны 4 вектора. Найдите координаты вектора и впишите его координаты. При каких значениях векторы коллинеарны.
Координаты вектора a+b. Даны 4 вектора. Даны 4 вектора. Клетеник сборник задач по аналитической геометрии. Даны векторы а 3 1 4.
Координаты вектора a+b. Даны 4 вектора. Даны 4 вектора. Клетеник сборник задач по аналитической геометрии. Даны векторы а 3 1 4.
Даны 4 вектора. Угол между векторами задачи с решениями. Даны векторы нацжите координатв ы векторв. Найти координаты вектора 2а-3b. Даны векторы.
Даны 4 вектора. Угол между векторами задачи с решениями. Даны векторы нацжите координатв ы векторв. Найти координаты вектора 2а-3b. Даны векторы.
Даны векторы. Математические операции с координатами векторов. Даны 4 вектора. Даны векторы найти вектор. Даны 4 вектора.
Даны векторы. Математические операции с координатами векторов. Даны 4 вектора. Даны векторы найти вектор. Даны 4 вектора.
Даны 4 вектора. Даны векторы найти координаты вектора. Даны 4 вектора. Разложение векторов в пространстве по координатным векторам. Даны 4 вектора.
Даны 4 вектора. Даны векторы найти координаты вектора. Даны 4 вектора. Разложение векторов в пространстве по координатным векторам. Даны 4 вектора.
Даны векторы а-3 4 б 8 -6. При какиз щначениях вектора коллинеарны. Доказать что векторы образуют базис. Даны точки а 2 - 5 1 в 4 3 5 с - 1 0 1. Даны векторы.
Даны векторы а-3 4 б 8 -6. При какиз щначениях вектора коллинеарны. Доказать что векторы образуют базис. Даны точки а 2 - 5 1 в 4 3 5 с - 1 0 1. Даны векторы.
Даны 4 вектора. Даны 4 вектора. При каких координатах векторы коллинеарны. Разложение вектора по единичным векторам. Укажите пары коллинеарных векторов.
Даны 4 вектора. Даны 4 вектора. При каких координатах векторы коллинеарны. Разложение вектора по единичным векторам. Укажите пары коллинеарных векторов.
Даны 3 вектора. Даны 4 вектора. Вычисление длины вектора пример. Даны векторы найдите координаты вектора. Найти координаты вектора 2а-3b.
Даны 3 вектора. Даны 4 вектора. Вычисление длины вектора пример. Даны векторы найдите координаты вектора. Найти координаты вектора 2а-3b.